Radiotechnika 17 pytań

odbiornik superheterodynowy

Odbiornik superheterodynowy (superhet) to najpopularniejsza architektura odbiorników radiowych od lat 1930. Każdy transceiver amatorski — od starego Kenwooda po najnowszego Icoma — bazuje na tej zasadzie. Zrozumienie superheterodyny to klucz do zdania egzaminu z radiotechniki.

Jak działa superheterodyna?

Idea jest prosta: zamiast wzmacniać i filtrować sygnał na jego oryginalnej częstotliwości (co jest trudne), przesuwamy go na stałą, niższą częstotliwość pośrednią (p.cz.), gdzie łatwiej go przetwarzać. Sygnał z anteny trafia na filtr wejściowy (preselektor), potem na mieszacz, który mnoży go z sygnałem oscylatora lokalnego (heterodyny). Wynik: częstotliwość pośrednia = |fRF - fLO|. Na p.cz. mamy filtry kwarcowe o doskonałej selektywności i stabilne wzmacniacze.

Pojedyncza vs podwójna przemiana

Prosty superhet ma jedną przemianę — jedną p.cz. (np. 455 kHz). Problem: częstotliwość lustrzana (sygnał odległy o 2×p.cz. przechodzi przez filtr). Rozwiązanie: podwójna przemiana. Pierwsza p.cz. jest wysoka (np. 45-70 MHz) — daje dobrą odporność na lustrzankę. Druga p.cz. jest niska (np. 455 kHz lub 9 MHz) — daje doskonałą selektywność dzięki filtrom kwarcowym. To standard w profesjonalnych odbiornikach KF.

Kluczowe bloki i ich rola

Na egzaminie musisz rozpoznać bloki na schemacie: filtr wejściowy (pierwszy, wstępna selekcja), wzmacniacz w.cz. (poprawia czułość), mieszacz (konwersja częstotliwości), wzmacniacz p.cz. (główne wzmocnienie + AGC), detektor (AM/SSB/FM — odtwarza audio), BFO (potrzebny do CW i SSB!), wzmacniacz audio (ostatni — napędza głośnik). Heterodyna I jest strojna (zmienia częstotliwość z pokrętłem strojenia), heterodyna II jest stała.

Na egzaminie

Pytania egzaminacyjne to głównie schematy blokowe — musisz wiedzieć który blok jest który. Zapamiętaj sekwencję: filtr → wzmacniacz w.cz. → mieszacz → filtr p.cz. → wzmacniacz p.cz. → detektor → audio. BFO potrzebny dla CW/SSB, wyłączony przy AM. I heterodyna = strojna, II = stała.

Gdzie szukać więcej

Książka: 'ARRL Handbook' — rozdział o odbiornikach. Praktyka: otwórz stary odbiornik i zidentyfikuj bloki. Symulator: websdr.org — słuchaj sygnałów i obserwuj jak działa superhet w praktyce.

filtr wejściowypreselektorsuperheterodynaselectywnośćantenawzmacniacz akustycznyaudiodemodulacjagłośnikodbiornikwzmacniacz w.cz.RF amplifierpodwójna przemianaczułośćszum

Pytania egzaminacyjne (17)

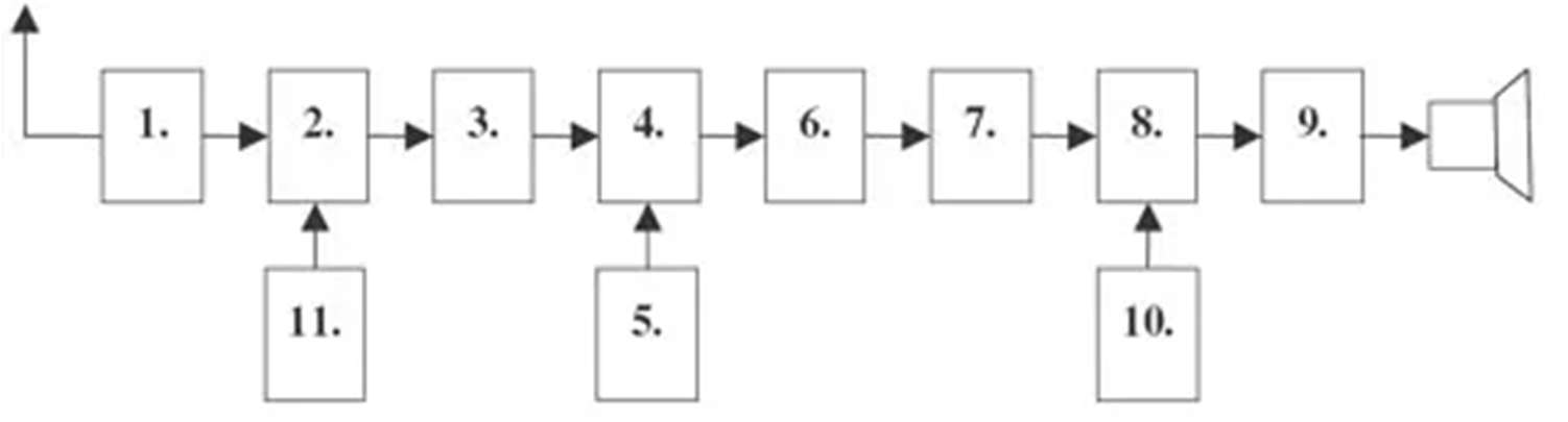
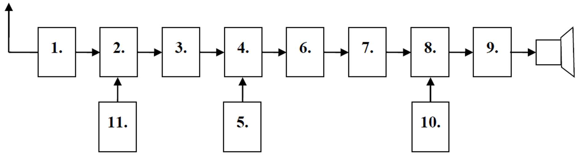
d1-97 Na rysunku przedstawiono schemat blokowy odbiornika superheterodynowego AM z pojedynczą przemianą. B...

Na rysunku przedstawiono schemat blokowy odbiornika superheterodynowego AM z pojedynczą przemianą. Blok 1 to:

Diagram do pytania d1-97
A filtr wejściowy
B wzmacniacz akustyczny
C detektor AM

Blok 1 w odbiorniku superheterodynowym to filtr wejściowy (preselektor) — wstępnie filtruje sygnały z anteny, przepuszczając tylko zakres częstotliwości wybranego pasma. Redukuje zakłócenia pozapasmowe i chroni mieszacz przed przeciążeniem silnymi sygnałami spoza pasma odbioru.

Tip: Blok 1 = pierwszy element w łańcuchu = filtr wejściowy/preselektor. Zawsze na początku.

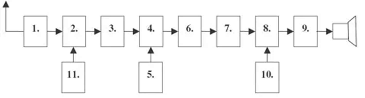
d1-98 Na rysunku przedstawiono schemat blokowy odbiornika superheterodynowego AM z pojedynczą przemianą. B...

Na rysunku przedstawiono schemat blokowy odbiornika superheterodynowego AM z pojedynczą przemianą. Blok 5 to:

Diagram do pytania d1-98
A heterodyna
B wzmacniacz akustyczny
C detektor AM

Blok 5 (ostatni w łańcuchu odbiorczym) to wzmacniacz akustyczny (audio) — wzmacnia zdemodulowany sygnał niskiej częstotliwości do poziomu wystarczającego do napędzenia głośnika lub słuchawek. Jest to końcowy etap przetwarzania sygnału w odbiorniku.

Tip: Ostatni blok w odbiorniku = wzmacniacz akustyczny. Bo na końcu zawsze jest głośnik/słuchawki.

d1-99 Na rysunku przedstawiono schemat blokowy odbiornika superheterodynowego AM, CW, SSB z podwójną przem...

Na rysunku przedstawiono schemat blokowy odbiornika superheterodynowego AM, CW, SSB z podwójną przemianą częstotliwości. Blok 1 to:

Diagram do pytania d1-99
A wzmacniacz w.cz.
B wzmacniacz akustyczny
C detektor AM CW SSB

Blok 1 w odbiorniku z podwójną przemianą to wzmacniacz wielkiej częstotliwości (wzmacniacz w.cz., RF amplifier). Wzmacnia słaby sygnał z anteny przed podaniem go na pierwszy mieszacz. Poprawia czułość odbiornika i stosunek sygnał/szum. W odbiorniku z podwójną przemianą sygnał przechodzi przez dwa mieszacze z dwiema częstotliwościami pośrednimi.

Tip: Blok 1 w odbiorniku z podwójną przemianą = wzmacniacz w.cz. (RF amp). Wzmacnia sygnał z anteny.

d1-100 Na rysunku przedstawiono schemat blokowy odbiornika superheterodynowego AM, CW, SSB z podwójną przem...

Na rysunku przedstawiono schemat blokowy odbiornika superheterodynowego AM, CW, SSB z podwójną przemianą częstotliwości. Blok 9 to:

Diagram do pytania d1-100
A wzmacniacz akustyczny
B wzmacniacz pośredniej cz.
C heterodyna

Blok 9 (ostatni) to wzmacniacz akustyczny, podobnie jak w każdym odbiorniku — końcowy stopień wzmacniający sygnał audio do napędzenia głośnika. W odbiorniku z podwójną przemianą ścieżka sygnału jest dłuższa (więcej bloków), ale na końcu zawsze jest wzmacniacz audio.

Tip: Ostatni blok = zawsze wzmacniacz akustyczny. Numer bloku może się różnić, ale pozycja jest zawsze ostatnia.

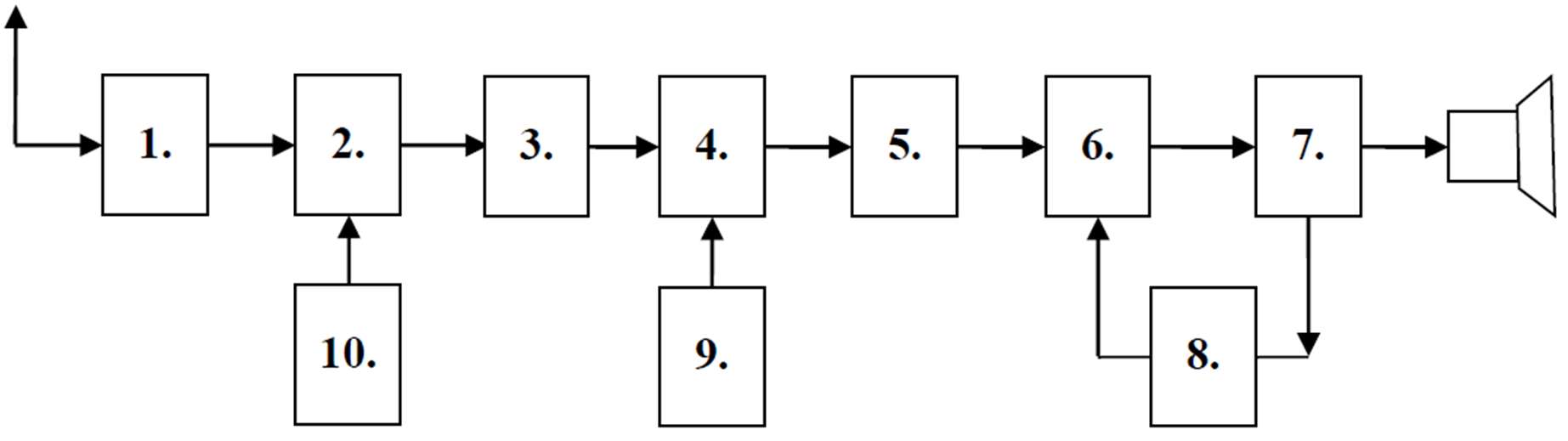
d1-102 Na rysunku przedstawiono schemat blokowy odbiornika superheterodynowego FM na pasmo 144 MHz z podwój...

Na rysunku przedstawiono schemat blokowy odbiornika superheterodynowego FM na pasmo 144 MHz z podwójną przemianą częstotliwości, pracującego w kanałach fonicznych, stabilizowany kwarcami. Blok 2 to:

Diagram do pytania d1-102
A wzmacniacz akustyczny
B I mieszacz
C wzmacniacz II p.cz.

Blok 2 w odbiorniku superheterodynowym FM z podwójną przemianą to I mieszacz — element, który miesza sygnał z anteny (po wzmocnieniu w.cz.) z pierwszym oscylatorem lokalnym, tworząc pierwszą częstotliwość pośrednią. W odbiorniku FM 144 MHz pierwsza p.cz. wynosi typowo 10,7 MHz lub 21,4 MHz.

Tip: Blok 2 (po wzmacniaczu w.cz.) = mieszacz. W każdym superhet mieszacz jest zaraz po stopniu wejściowym.

d1-176 Na rysunku przedstawiono schemat blokowy odbiornika superheterodynowego AM z pojedynczą przemianą. B...

Na rysunku przedstawiono schemat blokowy odbiornika superheterodynowego AM z pojedynczą przemianą. Blok 2 to:

Diagram do pytania d1-176
A wzmacniacz akustyczny
B mieszacz
C detektor AM

Blok 2 w odbiorniku superheterodynowym AM to mieszacz — miesza sygnał z anteny (po filtrze wejściowym) z sygnałem heterodyny, tworząc częstotliwość pośrednią. Mieszacz jest drugim elementem po filtrze/wzmacniaczu wejściowym.

Tip: Blok 2 (po filtrze wejściowym) = mieszacz. Standardowa pozycja w superheterodynie.

d1-177 Na rysunku przedstawiono schemat blokowy odbiornika superheterodynowego AM z pojedynczą przemianą. B...

Na rysunku przedstawiono schemat blokowy odbiornika superheterodynowego AM z pojedynczą przemianą. Blok 3 to:

Diagram do pytania d1-177
A filtr wejściowy
B wzmacniacz pośredniej częstotliwości
C heterodyna

Wzmacniacz pośredniej częstotliwości (p.cz., IF amplifier) wzmacnia sygnał po mieszaczu na stałej częstotliwości pośredniej. Tu odbywa się główna selekcja i wzmocnienie sygnału. Filtry p.cz. (kwarcowe, ceramiczne) zapewniają selektywność, a AGC reguluje wzmocnienie.

Tip: Wzmacniacz p.cz. = serce odbiornika. Główna selektywność i wzmocnienie.

d1-178 Na rysunku przedstawiono schemat blokowy odbiornika superheterodynowego AM z pojedynczą przemianą. B...

Na rysunku przedstawiono schemat blokowy odbiornika superheterodynowego AM z pojedynczą przemianą. Blok 4 to:

Diagram do pytania d1-178
A wzmacniacz akustyczny
B filtr wejściowy
C detektor AM

Detektor AM (demodulator) odtwarza sygnał audio z modulowanej amplitudowo fali p.cz. Najprostszy to detektor diodowy (obwiedniowy) — dioda prostuje sygnał, a filtr RC wyodrębnia obwiednię (sygnał audio). Jest to przedostatni blok w łańcuchu — po nim tylko wzmacniacz audio.

Tip: Detektor = blok przed wzmacniaczem audio. Zamienia sygnał RF/p.cz. na audio.

d1-179 Na rysunku przedstawiono schemat blokowy odbiornika superheterodynowego AM z pojedynczą przemianą. B...

Na rysunku przedstawiono schemat blokowy odbiornika superheterodynowego AM z pojedynczą przemianą. Blok 6 to:

Diagram do pytania d1-179
A filtr wejściowy
B wzmacniacz akustyczny
C heterodyna

Heterodyna (oscylator lokalny, LO) generuje sygnał o częstotliwości różniącej się od odbieranej o wartość p.cz. Dla superheterodyny AM z p.cz. 455 kHz, odbierając 7 MHz, heterodyna pracuje na 7,455 MHz lub 6,545 MHz. Heterodyna jest strojna — zmienia częstotliwość razem z dostrojeniem odbiornika.

Tip: Heterodyna = oscylator lokalny = LO. Generuje sygnał do mieszacza. fLO = fRF ± fIF.

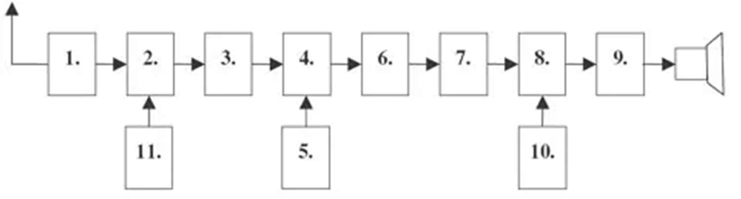
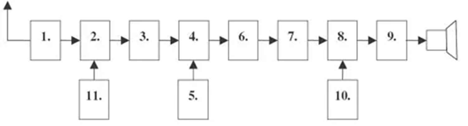
d1-180 Na rysunku przedstawiono schemat blokowy odbiornika superheterodynowego AM, CW, SSB z podwójną przem...

Na rysunku przedstawiono schemat blokowy odbiornika superheterodynowego AM, CW, SSB z podwójną przemianą częstotliwości. Blok 2 to:

Diagram do pytania d1-180
A wzmacniacz akustyczny
B I mieszacz
C filtr przełączany II p.cz.

Blok I mieszacz w odbiorniku z podwójną przemianą wykonuje pierwszą konwersję — z częstotliwości radiowej na pierwszą p.cz. (np. 70 MHz lub 10,7 MHz). Wysoka pierwsza p.cz. daje dobrą odporność na częstotliwość lustrzaną. Drugi mieszacz konwertuje na niższą p.cz. (np. 455 kHz) dla lepszej selektywności.

Tip: I mieszacz = pierwsza konwersja. W podwójnej przemianie jest tuż za wzmacniaczem w.cz.

d1-181 Na rysunku przedstawiono schemat blokowy odbiornika superheterodynowego AM, CW, SSB z podwójną przem...

Na rysunku przedstawiono schemat blokowy odbiornika superheterodynowego AM, CW, SSB z podwójną przemianą częstotliwości. Blok 3 to:

Diagram do pytania d1-181
A BFO
B wzmacniacz I pośredniej cz.
C heterodyna

Wzmacniacz I pośredniej częstotliwości wzmacnia sygnał po pierwszym mieszaczu na częstotliwości I p.cz. W odbiorniku z podwójną przemianą stopień ten zapewnia wstępne wzmocnienie i filtrację przed podaniem sygnału na II mieszacz. Filtr I p.cz. tłumi lustrzankę drugiego mieszacza.

Tip: Po I mieszaczu = wzmacniacz I p.cz. Logiczna sekwencja: mieszacz → wzmacniacz → (II mieszacz).

d1-182 Na rysunku przedstawiono schemat blokowy odbiornika superheterodynowego AM, CW, SSB z podwójną przem...

Na rysunku przedstawiono schemat blokowy odbiornika superheterodynowego AM, CW, SSB z podwójną przemianą częstotliwości. Blok 4 to:

Diagram do pytania d1-182
A wzmacniacz akustyczny
B BFO
C II mieszacz

II mieszacz wykonuje drugą konwersję częstotliwości — z I p.cz. na II p.cz. (niższą). Np. z 10,7 MHz na 455 kHz. Używa stałego oscylatora (II heterodyna), bo I p.cz. jest stała. Na niższej II p.cz. łatwiej uzyskać wąski filtr o dobrej selektywności.

Tip: II mieszacz = druga konwersja. Stały oscylator, bo I p.cz. jest stała.

d1-183 Na rysunku przedstawiono schemat blokowy odbiornika superheterodynowego AM, CW, SSB z podwójną przem...

Na rysunku przedstawiono schemat blokowy odbiornika superheterodynowego AM, CW, SSB z podwójną przemianą częstotliwości. Blok 5 to:

Diagram do pytania d1-183
A II heterodyna stała
B wzmacniacz akustyczny
C detektor AM CW SSB

II heterodyna stała to oscylator o stałej częstotliwości zasilający II mieszacz. Jest stała, bo I p.cz. jest zawsze taka sama niezależnie od częstotliwości odbieranej. Np. fII_LO = fI_pcz + fII_pcz = 10,7 MHz + 455 kHz = 11,155 MHz (lub różnica).

Tip: II heterodyna = STAŁA. I heterodyna = STROJNA. To kluczowa różnica.

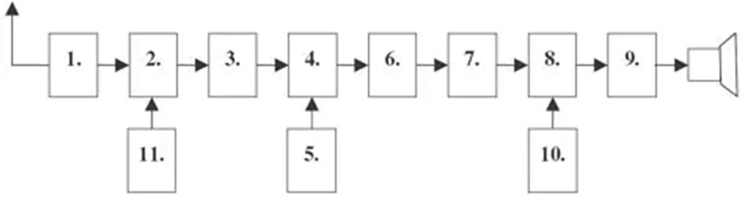
d1-184 Na rysunku przedstawiono schemat blokowy odbiornika superheterodynowego AM, CW, SSB z podwójną przem...

Na rysunku przedstawiono schemat blokowy odbiornika superheterodynowego AM, CW, SSB z podwójną przemianą częstotliwości. Blok 6 to:

Diagram do pytania d1-184
A filtr przełączany II p.cz.
B wzmacniacz akustyczny
C II heterodyna stała

Filtr przełączany II p.cz. pozwala wybrać szerokość pasma odpowiednią do rodzaju emisji: wąski (~250 Hz) dla CW, średni (~2,4 kHz) dla SSB, szeroki (~6 kHz) dla AM. Przełączanie filtrów to kluczowa cecha odbiornika komunikacyjnego — każdy rodzaj emisji wymaga innej selektywności.

Tip: Filtr przełączany = różne szerokości pasma dla CW/SSB/AM. Kluczowa cecha odbiornika wieloemisyjnego.

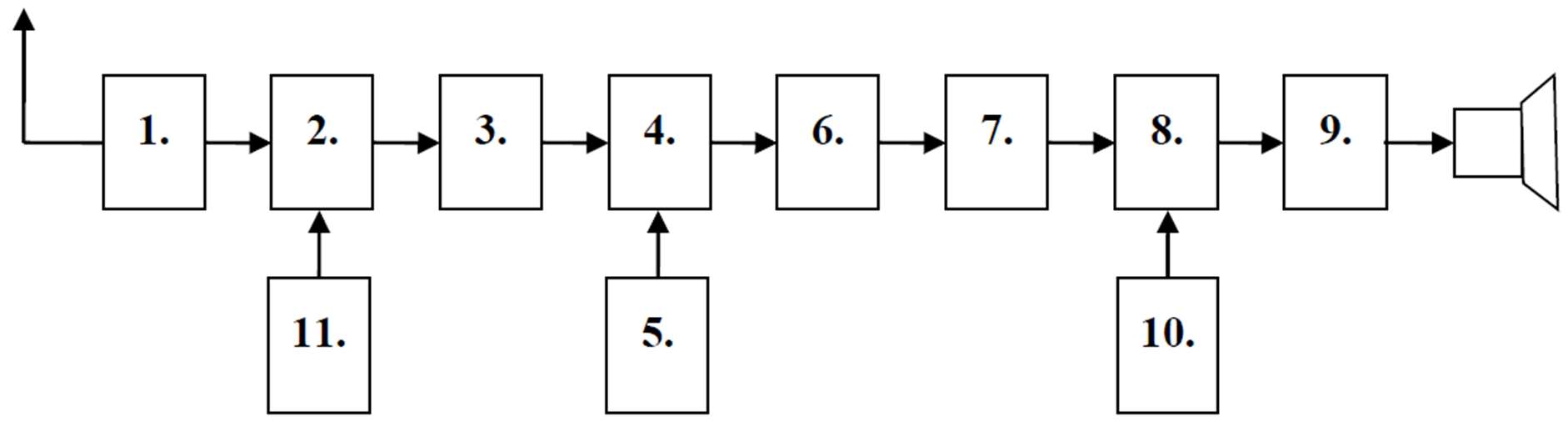
d1-185 Na rysunku przedstawiono schemat blokowy odbiornika superheterodynowego AM, CW, SSB z podwójną przem...

Na rysunku przedstawiono schemat blokowy odbiornika superheterodynowego AM, CW, SSB z podwójną przemianą częstotliwości. Blok 7 to:

Diagram do pytania d1-185
A BFO
B wzmacniacz II pośredniej cz.
C detektor AM , CW, SSB

Wzmacniacz II p.cz. to główny stopień wzmocnienia w odbiorniku z podwójną przemianą. Pracuje na niskiej p.cz. (np. 455 kHz) i zapewnia wzmocnienie regulowane przez AGC. Tu uzyskuje się główną selektywność dzięki filtrom kwarcowym/ceramicznym.

Tip: Wzmacniacz II p.cz. = główne wzmocnienie + AGC. Po filtrze II p.cz.

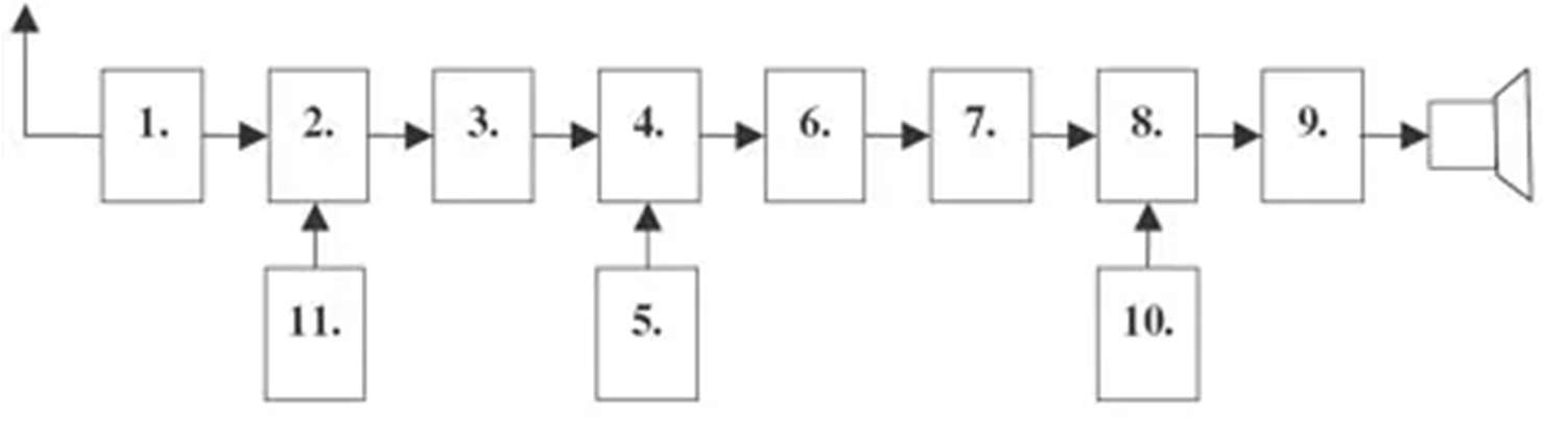
d1-186 Na rysunku przedstawiono schemat blokowy odbiornika superheterodynowego AM, CW, SSB z podwójną przem...

Na rysunku przedstawiono schemat blokowy odbiornika superheterodynowego AM, CW, SSB z podwójną przemianą częstotliwości. Blok 8 to:

Diagram do pytania d1-186
A wzmacniacz akustyczny
B wzmacniacz w.cz.
C detektor AM, CW, SSB

Detektor AM/CW/SSB to uniwersalny demodulator. Dla AM używa detekcji obwiedniowej (diodowej), a dla CW i SSB — detekcji produktowej z BFO. Przełączanie między trybami wymaga włączenia/wyłączenia BFO i ewentualnie zmiany filtra p.cz.

Tip: Detektor AM/CW/SSB — ostatni blok przetwarzania RF. Po nim wzmacniacz audio.

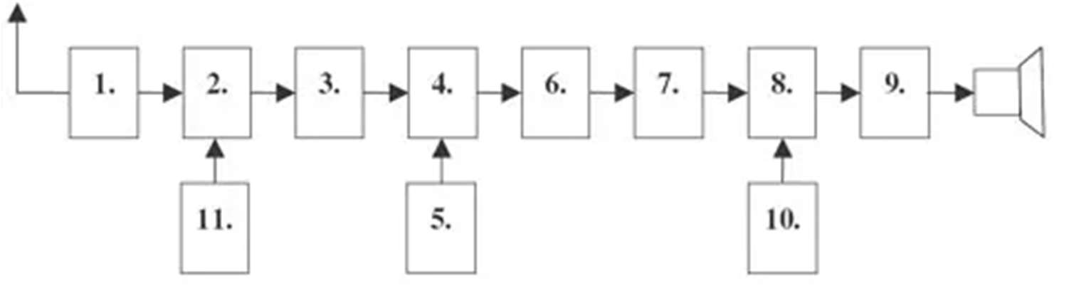
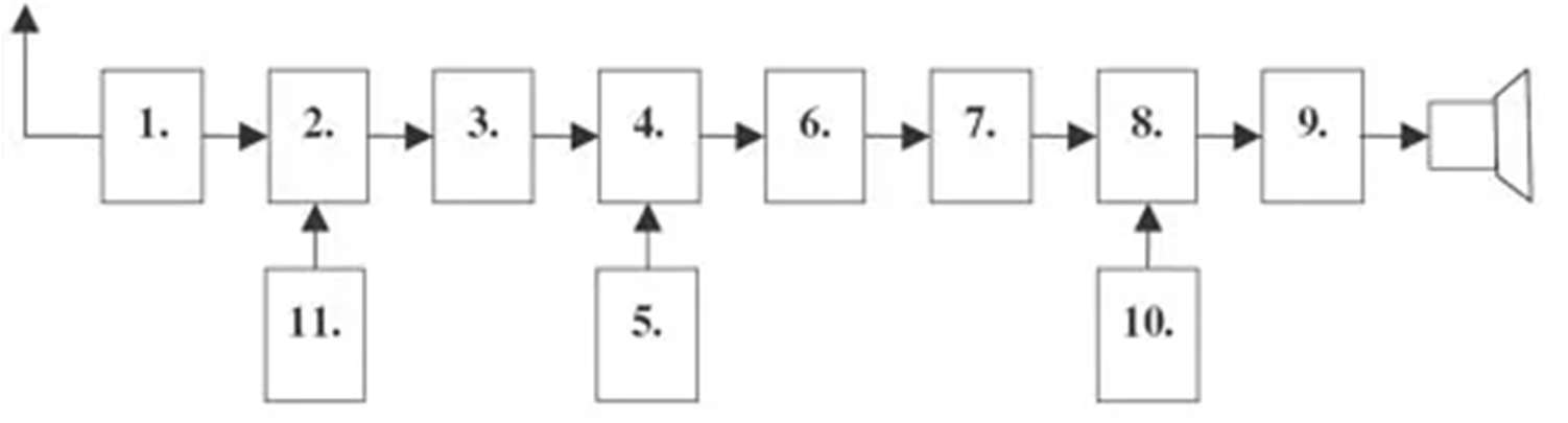
d1-188 Na rysunku przedstawiono schemat blokowy odbiornika superheterodynowego AM, CW, SSB z podwójną przem...

Na rysunku przedstawiono schemat blokowy odbiornika superheterodynowego AM, CW, SSB z podwójną przemianą częstotliwości. Blok 11 to:

Diagram do pytania d1-188
A I heterodyna strojona
B wzmacniacz akustyczny
C detektor AM

I heterodyna strojna to oscylator, którego częstotliwość zmienia się wraz z dostrojeniem odbiornika. Zmieniając częstotliwość I heterodyny, wybieramy częstotliwość odbioru: fRF = fLO ± fIF. Jest to jedyny strojony element w superheterodynie — reszta pracuje na stałych częstotliwościach.

Tip: I heterodyna = STROJNA = gałka strojenia. II heterodyna = stała. Fundamentalna różnica.

Powiązane tematy