Radiotechnika 5 pytań

odbiornik homodynowy

Na podstawie wyjaśnień do pytań egzaminacyjnych UKE

Odbiornik homodynowy (direct conversion) przetwarza sygnał RF bezpośrednio na częstotliwość audio, bez pośredniej częstotliwości. Oscylator lokalny pracuje na częstotliwości odbieranego sygnału. Zalety: prostota, brak problemu częstotliwości lustrzanej. Wady: wrażliwość na szumy LO, problem z radiacją LO przez antenę.

Mieszacz zrównoważony (balanced mixer) tłumi przebijanie LO na wejście i wyjście. W podwójnie zrównoważonym (doubly balanced, np. ring mixer) tłumione są oba sygnały wejściowe, na wyjściu pojawiają się tylko produkty mieszania. Typowe tłumienie LO: 20-40 dB. Kluczowy element odbiorników homodynowych i SDR.

W odbiorniku homodynowym wzmacniacz audio pracuje bezpośrednio po mieszaczu. Wymaga niskiego szumu i dużego zakresu dynamiki, bo brak wzmocnienia p.cz. AGC odbywa się w torze audio lub na wejściu RF. Nowoczesne odbiorniki SDR typu direct-sampling eliminują mieszacz analogowy, digitalizując sygnał RF bezpośrednio.

filtr wejściowyhomodynadirect conversionodbiornikmieszacz zrównoważonytłumienie LOwzmacniacz akustycznyaudioniskoszumowyheterodynaoscylator lokalnysuperheterodynaczęstotliwość pośrednia

Pytania egzaminacyjne (5)

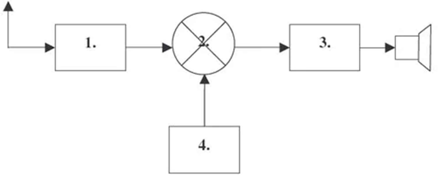
d1-101 Na rysunku przedstawiono schemat blokowy odbiornika homodynowego CW i SSB, na jedno pasmo amatorskie...

Na rysunku przedstawiono schemat blokowy odbiornika homodynowego CW i SSB, na jedno pasmo amatorskie. Blok 1 to:

Diagram do pytania d1-101
A filtr wejściowy
B wzmacniacz akustyczny
C heterodyna

Blok 1 w odbiorniku homodynowym to filtr wejściowy — podobnie jak w superheterodynie, pierwszy element filtruje sygnały z anteny. Odbiornik homodynowy (direct conversion) różni się tym, że sygnał jest mieszany bezpośrednio z oscylatorem lokalnym o częstotliwości odbieranego sygnału, bez pośredniej częstotliwości.

Tip: Blok 1 = filtr wejściowy. Homodyna i superheterodyna zaczynają tak samo — od filtracji wejściowej.

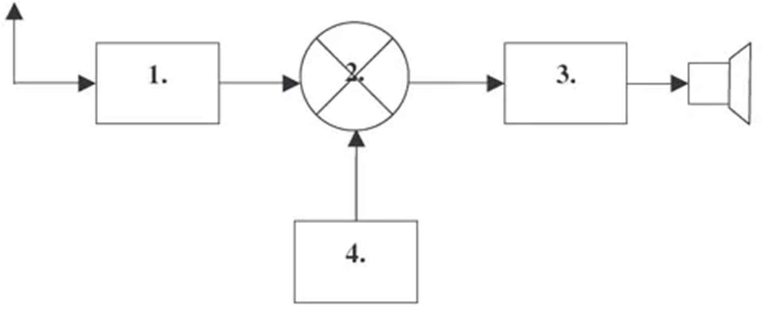
d1-189 Na rysunku przedstawiono schemat blokowy odbiornika homodynowego CW i SSB, na jedno pasmo amatorskie...

Na rysunku przedstawiono schemat blokowy odbiornika homodynowego CW i SSB, na jedno pasmo amatorskie. Blok 2 to:

Diagram do pytania d1-189
A wzmacniacz akustyczny
B filtr wejściowy
C mieszacz zrównoważony

W odbiorniku homodynowym mieszacz zrównoważony (balanced mixer) mnoży sygnał RF bezpośrednio z oscylatorem lokalnym pracującym na częstotliwości odbieranego sygnału. Mieszacz zrównoważony tłumi nośną LO na wyjściu, redukując szumy i zakłócenia. Daje na wyjściu bezpośrednio sygnał audio.

Tip: Homodyna = mieszacz zrównoważony. 'Zrównoważony' bo tłumi przebijanie LO na wyjście.

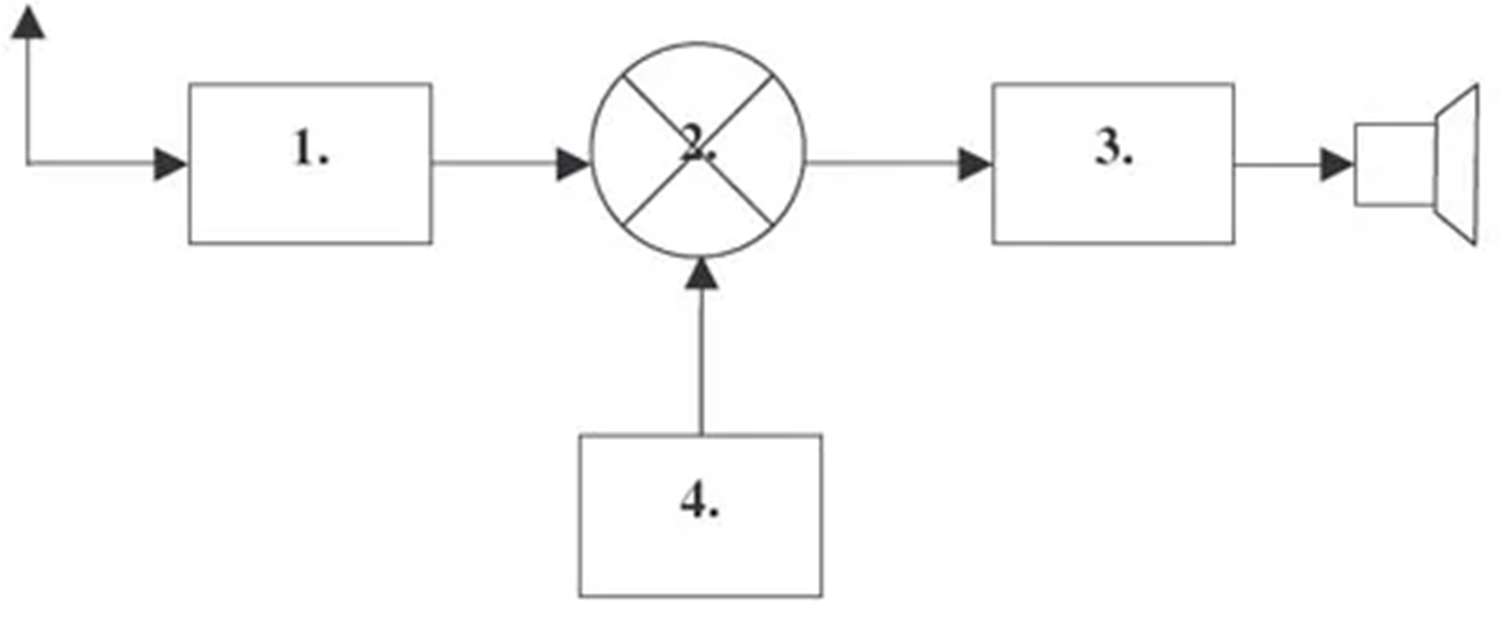
d1-190 Na rysunku przedstawiono schemat blokowy odbiornika homodynowego CW i SSB, na jedno pasmo amatorskie...

Na rysunku przedstawiono schemat blokowy odbiornika homodynowego CW i SSB, na jedno pasmo amatorskie. Blok 3 to:

Diagram do pytania d1-190
A heterodyna
B wzmacniacz akustyczny
C filtr wejściowy

Wzmacniacz akustyczny w odbiorniku homodynowym wzmacnia sygnał audio bezpośrednio z mieszacza. W homodynie nie ma pośredniej częstotliwości — mieszacz daje od razu audio. Dlatego wzmacniacz audio jest szczególnie ważny — musi mieć niski szum, bo sygnał z mieszacza jest bardzo słaby.

Tip: Homodyna: mieszacz → audio → głośnik. Prosta architektura, wzmacniacz audio jest kluczowy.

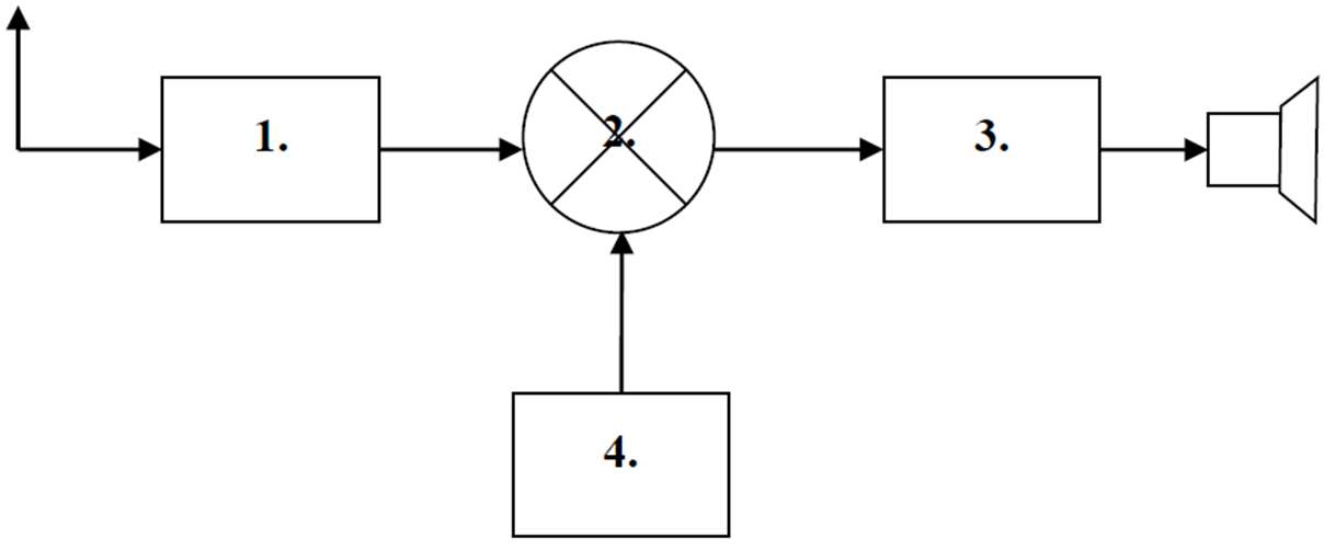
d1-191 Na rysunku przedstawiono schemat blokowy odbiornika homodynowego CW i SSB, na jedno pasmo amatorskie...

Na rysunku przedstawiono schemat blokowy odbiornika homodynowego CW i SSB, na jedno pasmo amatorskie. Blok 4 to:

Diagram do pytania d1-191
A filtr wejściowy
B wzmacniacz akustyczny
C heterodyna

Heterodyna (oscylator lokalny) w odbiorniku homodynowym pracuje na częstotliwości RÓWNEJ częstotliwości odbieranego sygnału (stąd nazwa homo-dyna = ta sama częstotliwość). W superhet heterodyna jest przesunięta o p.cz., w homodynie pokrywa się z sygnałem.

Tip: Homodyna: fLO = fRF. Superhet: fLO = fRF ± fIF. Kluczowa różnica architektur.

d1-273 Odbiornik homodynowy od superheteredynowego odróżnia:

Odbiornik homodynowy od superheteredynowego odróżnia:

A brak częstotliwości pośredniej (jest równa 0)
B brak generatora
C brak demodulatora

Odbiornik homodynowy (direct conversion) różni się od superheterodynowego brakiem częstotliwości pośredniej — oscylator lokalny pracuje na częstotliwości odbieranego sygnału, a wyjście mieszacza jest bezpośrednio sygnałem audio (baseband). Nie ma toru p.cz., filtrów p.cz. ani drugiego mieszacza.

Tip: Homodyna = brak p.cz. (p.cz. = 0). Superhet = p.cz. > 0. To kluczowa różnica.

Powiązane tematy