Radiotechnika 4 pytań

odbiór CW i SSB

Na podstawie wyjaśnień do pytań egzaminacyjnych UKE

BFO (Beat Frequency Oscillator) wytwarza sygnał o częstotliwości bliskiej p.cz. Mieszanie BFO z sygnałem CW daje ton audio o częstotliwości = |fBFO - fCW|. Typowa częstotliwość tonu CW to 600-800 Hz. BFO jest też niezbędny do odbioru SSB — częstotliwość BFO musi odpowiadać stłumionej nośnej.

Przy detekcji SSB BFO musi odtwarzać stłumioną nośną. Dla LSB: BFO powyżej wstęgi (np. filtr SSB 9 MHz → BFO 9,0015 MHz). Dla USB: BFO poniżej (np. BFO 8,9985 MHz). Błędne ustawienie BFO powoduje inwersję widma i niezrozumiałą mowę (efekt 'kaczki Donalda').

BFO w odbiorniku superheterodynowym pracuje na częstotliwości bliskiej II p.cz. Dla CW: fBFO = fIF ± 700 Hz (ton CW). Dla USB: fBFO poniżej pasma filtra. Dla LSB: fBFO powyżej pasma filtra. Stabilność BFO jest kluczowa — drift BFO zmienia ton CW i barwę głosu SSB.

BFOdudnieniaCWdetektor mnożącydetekcjaLSBUSBodtwórnik nośnejdetekcja SSBdetektor produktowySSBczęstotliwość uderzeniowaA1AJ3E

Pytania egzaminacyjne (4)

d1-166 Dlaczego do detekcji sygnałów telegrafii CW używamy detektora mnożącego i pomocniczego generatora BF...

Dlaczego do detekcji sygnałów telegrafii CW używamy detektora mnożącego i pomocniczego generatora BFO?

A bo sygnał CW jest przerywany
B musimy wytworzyć słyszalne dudnienia z niemodulowanym sygnałem CW
C bo sygnał CW jest słaby

Sygnał CW to czysta nośna włączana i wyłączana — nie ma modulacji, więc detektor obwiedniowy nie wydobędzie z niego dźwięku. Potrzebny jest BFO (Beat Frequency Oscillator) — generator pomocniczy, którego sygnał jest mieszany z nośną CW, tworząc słyszalne dudnienia (beat) o częstotliwości różnicowej np. 700-800 Hz.

Tip: CW = niemodulowana nośna = potrzebny BFO do wytworzenia słyszalnego tonu. Bez BFO — cisza.

d1-167 Aby czytelnie odebrać sygnał SSB, to przy odbiorze dolnej wstęgi (LSB) sygnał odtwarzający falę nośn...

Aby czytelnie odebrać sygnał SSB, to przy odbiorze dolnej wstęgi (LSB) sygnał odtwarzający falę nośną powinien być:

A poniżej wstęgi LSB
B powyżej wstęgi LSB
C w środku LSB

Przy odbiorze LSB (Lower Side Band — dolna wstęga boczna) sygnał BFO (odtwórnik nośnej) musi być ustawiony powyżej wstęgi LSB, na częstotliwości odpowiadającej stłumionej nośnej. Gdyby BFO był poniżej, widmo audio byłoby odwrócone i mowa byłaby niezrozumiała.

Tip: LSB → BFO powyżej wstęgi. USB → BFO poniżej wstęgi. Odwrotnie niż intuicja podpowiada.

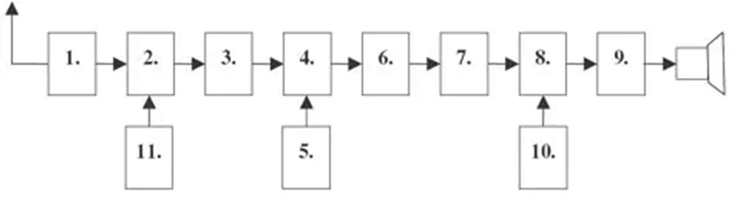
d1-187 Na rysunku przedstawiono schemat blokowy odbiornika superheterodynowego AM, CW, SSB z podwójną przem...

Na rysunku przedstawiono schemat blokowy odbiornika superheterodynowego AM, CW, SSB z podwójną przemianą częstotliwości. Blok 10 to:

Diagram do pytania d1-187
A wzmacniacz akustyczny
B BFO
C detektor AM, CW, SSB

BFO (Beat Frequency Oscillator) generuje sygnał potrzebny do detekcji CW i SSB. Jego częstotliwość jest bliska II p.cz. — dla CW przesunięta o ~700 Hz, dla SSB ustawiona dokładnie na krawędź filtra (USB lub LSB). BFO jest wyłączany przy odbiorze AM.

Tip: BFO = niezbędny dla CW i SSB. Wyłączony przy AM. Generuje 'brakującą' nośną.

d1-227 Generator BFO jest niezbędny do odbioru:

Generator BFO jest niezbędny do odbioru:

A sygnałów modulacji częstotliwości (F3E)
B sygnałów modulacji amplitudy z pełną falą nośną (A3E)
C sygnałów telegraficznych (A1) i modulacji amplitudy ze zredukowaną falą nośną

BFO jest niezbędny do odbioru: CW (A1A) — niemodulowana nośna wymaga BFO do wytworzenia słyszalnego tonu dudnieniowego; SSB (J3E) — stłumiona nośna musi być odtworzona przez BFO, aby detektor produktowy mógł zdemodulować sygnał. AM (A3E) nie wymaga BFO.

Tip: BFO = CW + SSB. Bez BFO = AM, FM. Zapamiętaj: BFO odtwarza brakującą nośną.

Powiązane tematy