Radiotechnika 8 pytań

nadajnik radiowy

Nadajnik to druga połowa transceiverа — przetwarza sygnał audio (lub CW) na falę radiową i wysyła ją w eter przez antenę. Znajomość bloków nadajnika pozwala diagnozować problemy i rozumieć dlaczego filtr wyjściowy jest obowiązkowy.

Bloki nadajnika

Prosty nadajnik CW: VFO (generator częstotliwości) → separator/bufor (izoluje VFO od PA) → wzmacniacz mocy (PA) → filtr wyjściowy (LPF) → antena. Nadajnik SSB dodaje: wzbudnicę SSB (modulator + filtr kwarcowy na 9 MHz) → mieszacz (przesuwa na pasmo robocze) → filtr pasmowy → driver → PA → LPF. Separator chroni VFO przed 'pulling' — zmianą częstotliwości spowodowaną zmiennym obciążeniem PA.

Dlaczego filtr wyjściowy jest obowiązkowy?

PA generuje harmoniczne (2f, 3f, 4f...) — wielokrotności częstotliwości roboczej. Bez filtra LPF harmoniczne są wypromieniowane przez antenę, zakłócając inne służby radiowe (TV, lotnictwo, służby ratunkowe). Przepisy wymagają tłumienia harmonicznych >43 dB. Filtr LPF przepuszcza sygnał podstawowy i tłumi harmoniczne. Każde pasmo ma swój filtr — w transceiverai przełączany automatycznie.

Na egzaminie

Na schemacie blokowym: VFO = generator, separator = bufor po VFO, PA = przedostatni blok, filtr wyjściowy = ostatni (przed anteną). SSB wymaga klasy AB (liniowej), CW może klasa C. ALC chroni PA przed przesterowaniem.

Gdzie szukać więcej

Książka: 'ARRL Handbook' — rozdziały o nadajnikach. Projekt: QRP Labs QCX — prosty nadajnik CW do samodzielnego montażu, idealna nauka budowy nadajnika.

filtr wyjściowynadajnikharmonicznedopasowanie impedancjifiltr dolnoprzepustowyVFOoscylatorstrojeniegeneracja sygnałuLPFwzmacniacz mocyemisje niepożądanenadajnik CWseparatorbufor

Pytania egzaminacyjne (8)

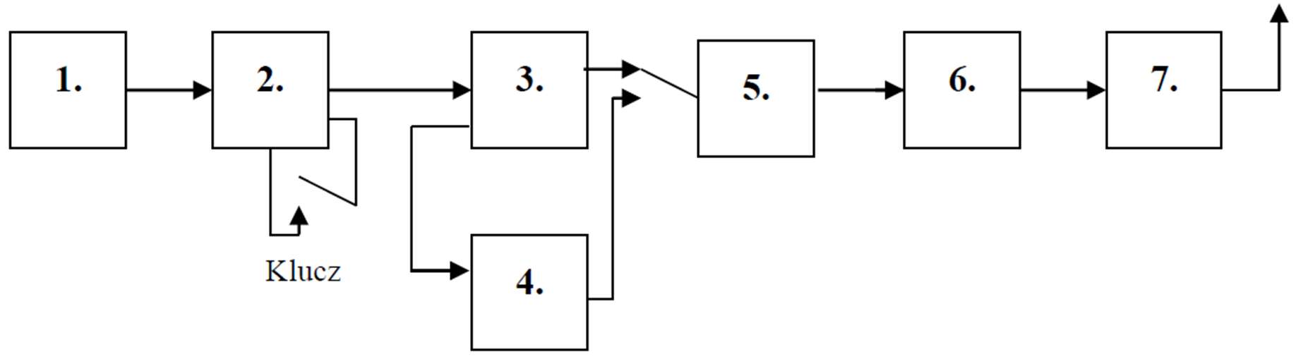
d1-104 Na rysunku przedstawiono schemat blokowy nadajnika telegraficznego na jedno pasmo amatorskie. Blok 4...

Na rysunku przedstawiono schemat blokowy nadajnika telegraficznego na jedno pasmo amatorskie. Blok 4 to:

Diagram do pytania d1-104
A filtr wyjściowy
B wzmacniacz mocy (PA)
C separator

Ostatni blok w nadajniku telegraficznym to filtr wyjściowy — dopasowuje impedancję wzmacniacza mocy do anteny (50 Ω) i tłumi harmoniczne sygnału wyjściowego. Filtr wyjściowy jest obowiązkowym elementem każdego nadajnika, zapobiegającym emisjom niepożądanym.

Tip: Ostatni blok nadajnika = filtr wyjściowy. Zawsze na końcu, przed anteną.

d1-105 Na rysunku przedstawiono schemat blokowy nadajnika telegraficznego na kilka pasm amatorskich z powie...

Na rysunku przedstawiono schemat blokowy nadajnika telegraficznego na kilka pasm amatorskich z powielaniem częstotliwości. Blok 1 to:

Diagram do pytania d1-105
A wzmacniacz mocy (PA)
B oscylator (VFO)
C separator

Blok oscylatora (VFO — Variable Frequency Oscillator) w nadajniku wielopasmowym generuje sygnał o zmiennej częstotliwości, który po wzmocnieniu i filtracji jest emitowany. VFO pozwala na strojenie nadajnika w obrębie pasma. W nowoczesnych konstrukcjach zastąpiony syntezą PLL/DDS.

Tip: VFO = Variable Frequency Oscillator = serce nadajnika. Generuje sygnał o żądanej częstotliwości.

d1-164 W tranzystorowym wzmacniaczu mocy który element jest niezbędny aby nie generować zakłóceń harmoniczn...

W tranzystorowym wzmacniaczu mocy który element jest niezbędny aby nie generować zakłóceń harmonicznych?

A filtr dolnoprzepustowy
B przełącznik nadawanie-odbiór
C układ dopasowania bazy tranzystora

Filtr dolnoprzepustowy (LPF) na wyjściu wzmacniacza mocy tłumi harmoniczne generowane przez nieliniowość tranzystorów. Bez LPF harmoniczne byłyby wypromieniowane przez antenę, powodując zakłócenia na wielokrotnościach częstotliwości pracy. Filtr LPF jest obowiązkowym elementem każdego nadajnika.

Tip: Wzmacniacz mocy + filtr LPF = brak harmonicznych. Bez filtra = zakłócenia i problemy z regulatorem.

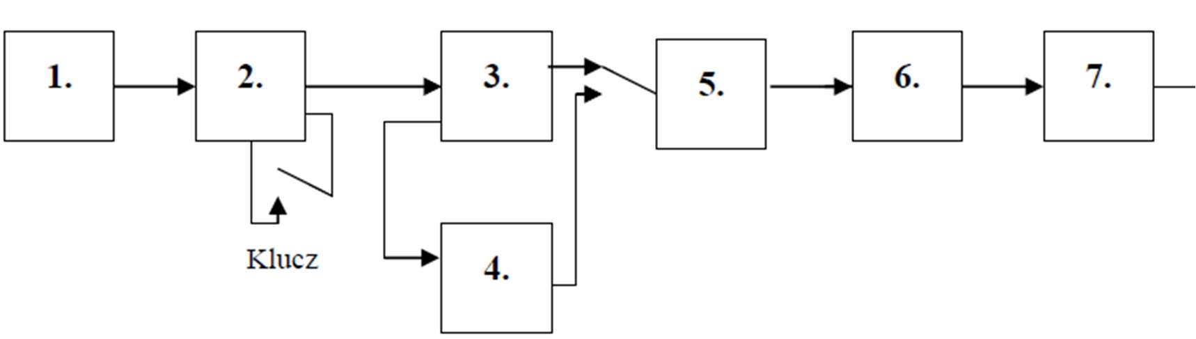
d1-202 Na rysunku przedstawiono schemat blokowy nadajnika telegraficznego na jedno pasmo amatorskie. Blok 1...

Na rysunku przedstawiono schemat blokowy nadajnika telegraficznego na jedno pasmo amatorskie. Blok 1 to:

Diagram do pytania d1-202
A separator
B wzmacniacz mocy (PA)
C oscylator (VFO)

Oscylator (VFO) w nadajniku telegraficznym jednopasmowym generuje sygnał o częstotliwości pracy. VFO (Variable Frequency Oscillator) pozwala na płynne strojenie w obrębie pasma. W najprostszym nadajniku CW: VFO → separator → wzmacniacz mocy → filtr wyjściowy → antena.

Tip: VFO = generator częstotliwości = pierwszy blok aktywny w nadajniku.

d1-203 Na rysunku przedstawiono schemat blokowy nadajnika telegraficznego na jedno pasmo amatorskie. Blok 2...

Na rysunku przedstawiono schemat blokowy nadajnika telegraficznego na jedno pasmo amatorskie. Blok 2 to:

Diagram do pytania d1-203
A wzmacniacz mocy (PA)
B oscylator (VFO)
C separator

Separator (bufor) izoluje VFO od następnych stopni nadajnika. Bez separatora zmiany obciążenia wzmacniacza mocy wpływałyby na częstotliwość VFO (pulling). Separator ma wysoką impedancję wejściową i niską wyjściową, zapewniając stały warunek pracy VFO.

Tip: Separator = bufor = izolacja VFO. Zawsze między VFO a następnym stopniem.

d1-204 Na rysunku przedstawiono schemat blokowy nadajnika telegraficznego na jedno pasmo amatorskie. Blok 3...

Na rysunku przedstawiono schemat blokowy nadajnika telegraficznego na jedno pasmo amatorskie. Blok 3 to:

Diagram do pytania d1-204
A oscylator (VFO)
B wzmacniacz mocy (PA)
C filtr wyjściowy

Wzmacniacz mocy (PA — Power Amplifier) to końcowy stopień nadajnika, który wzmacnia sygnał do mocy wymaganej na wyjściu (np. 5 W, 100 W, 1 kW). Dla CW może pracować w klasie C (najwyższa sprawność). PA jest najważniejszym elementem pod względem poboru mocy i wydzielania ciepła.

Tip: PA = Power Amplifier = wzmacniacz mocy = przedostatni blok (przed filtrem wyjściowym).

d1-205 Na rysunku przedstawiono schemat blokowy nadajnika telegraficznego na kilka pasm amatorskich z powie...

Na rysunku przedstawiono schemat blokowy nadajnika telegraficznego na kilka pasm amatorskich z powielaniem częstotliwości. Blok 2 to:

Diagram do pytania d1-205
A wzmacniacz sterujący
B separator
C I powielacz x2

W nadajniku wielopasmowym separator pełni tę samą rolę co w jednopasmowym — izoluje VFO od dalszych stopni. W nadajniku wielopasmowym jest szczególnie ważny, bo mieszacz i wzmacniacz mocy pracują na różnych częstotliwościach, co generuje zmienne obciążenie.

Tip: Separator = bufor. Niezależnie od liczby pasm, zawsze chroni VFO.

d1-333 Jeśli wzmacniacz mocy nie posiada pomiędzy ostatnim stopniem wzmocnienia a wyjściem antenowym filtru...

Jeśli wzmacniacz mocy nie posiada pomiędzy ostatnim stopniem wzmocnienia a wyjściem antenowym filtru dolnoprzepustowego to:

A może zniekształcać sygnał wyjściowy na częstotliwości roboczej
B może wprowadzać zakłócenia spowodowane przez nieodfiltrowane harmoniczne
C ma optymalną konstrukcję

Brak filtra dolnoprzepustowego (LPF) po ostatnim stopniu wzmocnienia oznacza, że harmoniczne generowane przez wzmacniacz mocy są emitowane przez antenę. Harmoniczne: 2f, 3f, 4f... mogą zakłócać inne usługi radiowe. LPF jest obowiązkowy w każdym nadajniku.

Tip: Brak filtra wyjściowego = harmoniczne na antenie = zakłócenia. LPF jest obowiązkowy.

Powiązane tematy